logo

新闻与公告详情

Beta Science | 如何及时发现上市公司财务危机

公司动态

2022-06-03

谢能-中诚信指数服务(北京)有限公司跨资产部落研究员

毕业于中科院物理专业,曾在量化私募从事量化投资工作,主要研究方向为股票量化投资。

一、引言

2020年十月,国务院金融稳定发展委员会在会议中表示,将全面实行股票发行注册制,建立常态化退市机制。这一背景下,投资者开始更多地关注公司风险维度。另一方面,从宏观角度来看,违约事件的产生必然对其股票表现产生严重负向冲击。在这样的大环境下,构造财务危机模型,能够及时地发现公司财务危机,帮助投资者对上市公司进行有效评价,为投资者提供决策依据,同时帮助监管者对市场实施有效监管。

二、理论背景

Campbell(2008)主要研究了美股市场上市公司财务危机的问题,围绕公司破产可能性的预测展开。首先,为预测破产的可能性,作者将核心解释变量分为会计指标和资本市场指标两类,通过运用逻辑回归的方法,将破产的边际概率作为被解释变量。破产指标是一个虚拟变量,当公司在公开的报告或文件中被登记为破产时,数值为1,否则为0。会计指标包括净收益-市值资产比率(NIMTA)、收益-账面资产比率(NITA)、总杠杆-市值资产比率(TLMTA)、总杠杆-账面资产比率(TLTA)短期流动资产-资产比率(CASHMTA)、账面市值比(MB)。资本市场指标包括股票超额收益(EXRET)、过去三个月的收益波动(SIGMA)、公司市值(RSIZE)、每股价格(PRICE)。实证结果证明,所包含的因子均显著。通过将被解释变量替换为破产的条件概率,作者从长期视角观察因子的影响力,实证结果证明市值(RSIZE)、收益波动(SIGMA)和账面市值比(MB)的长期效应较好。

由于A股市场与美股市场存在较大差异,中诚信财务预测模型根据A股进行修正。在因变量部分,参考文献中,作者依据公司破产登记情况构造破产指标。然而由于A股上市公司破产风险难以量化,本模型以股票是否被ST为原始代理变量并对其进行相应加工,作为上司公司财务困境预测模型的因变量(Y)。在解释变量部分,由于在A股市场上,交易所将依据公司净利润、净资产、营业收入状况对不符合规定的公司实施ST,因此模型中加入了LOSS_LAST、NA_LOSS_LAST、OR_LOSS_LAST三个虚拟变量,分别代表公司前一期净利润、净资产及营业收入的情况,同时由于被ST股票多为低价股,本模型修改因子PRICE生成规则为收盘价大于15元时等于ln(15+1)。

三、因变量

被解释变量为二分类变量,具体定义为:ST股票记为1,非ST股票记为0。需要指出的是,以股票被ST为时间原点,往前追溯一年并且向后延长一年皆为财务状况需要警惕的时间段,在标签处理上统一记为1。

针对ST股票进行简单的统计分析,样本空间为2010年至2021年11月的A股上市公司(下同)。下表为不同分域下年度ST股票个数统计,A_ST、HS300_ST、ZZ500_ST、ZZ1000_ST和others_ST分别指代全部A股、沪深300、中证500、中证1000和其他股票(全部A股去除沪深300、中证500和中证1000)的ST股票数目。可以发现最近5年A股ST有逐渐增加的趋势,三大宽基指数成分股被ST比例低于3%。

下图所示为全部A股被ST前后相对万得全A指数的超额收益的平均值、标准差、二者比值以及样本个数,整体来看,股票被ST时的过去两年和未来两年超额收益皆为负值,特别是被ST之前,其负向alpha十分显著。

四、解释变量

从指标类型来看,模型解释变量主要基于三大财务报表中的基本面指标,同时引入波动率类等技术面指标,亦包含A股市场与被解释变量(被ST)直接相关的财务类指标。指标的具体含义如下表所示,依照文献的处理方法,本文对连续型变量进行上下5%的缩尾处理:

五、模型训练

使用Logistic Regression模型,对财务困境状态进行预测。模型形式为:

样本具有一定的不均匀性,非ST标签样本数量为ST标签样本数量的三十多倍,故训练时引入sample_weight。训练过程为第n年至第n+4年的五年样本内数据作为训练集和测试集,确定回归系数,作为未来半年ST预测因子的回归系数。以此类推,每半年利用过去五年的数据训练一次模型,确定未来半年的回归系数。

为有效评估模型效果,我们引入精确率(precision)、召回率(recall)以及F1值(f1-score)三大评价指标。指标的具体含义及构造方式如下所示:

True Positive(TP):真正类。样本的真实类别是正类,并且模型识别的结果也是正类。

False Negative(FN):假负类。样本的真实类别是正类,但是模型将其识别为负类。

False Positive(FP):假正类。样本的真实类别是负类,但是模型将其识别为正类。

True Negative(TN):真负类。样本的真实类别是负类,并且模型将其识别为负类。

精确率定义:将正类预测为正类数量/(将正类预测为正类数量+将负类预测为正类数量);

Precision= TP/(TP+FP)

召回率定义:将正类预测为正类数量/(将正类预测为正类数量+将正类预测为负类数量)。

Recall = TP/(TP+FN)

F1值定义:精确率和召回率的调和平均数

下图所示为所有训练周期测试集以及训练集的结果:

以第一行为例,start_date为20060601,end_date为20101201,表示训练集起始时间为20060601,结束时间为20100601,测试集其实时间为20100601,结束时间为20101201。precision_train、recall_train、f1-score_train分别为训练集精确率、召回率以及F1值。precision_test、recall_test、f1-score_test分别为测试集精确率、召回率以及F1值。

六、指数应用

中诚信全指的样本空间是全部在上海证券交易所、深圳证券交易市场中上市交易的A股股票,并剔除ST、*ST股票以及中诚信认定的“中诚信财务预测模型”违约概率最高的5%的股票。

七、ST预测因子分析

计算所得ST预测因子值为0到1之间的概率值,越接近0表示非ST的概率越小(即ST概率越大)。下图所示为2010年至2021年把股票按因子值从小到大分为十组,每组中含有的ST股票数目(预测时已被ST的股票,因子值赋值为0),因子值对ST数目分层效果显著。

下面三个图示分别为2010年至2021年,2010年至2016年以及2017年至2021年因子在全市场的21D(一个月)、63D(一季度)和126D(半年)持仓周期下的分组收益(等权)。可以发现,从2010年到2021年整体来看,因子值与收益呈负相关(ST概率大的收益高),特别是在2010年至2016年,分层收益更加显著。然而从2017年到2021年来看,分层收益亦十分明显,但因子值与收益呈正相关(ST概率小的收益高)。

2017年前后因子表现完全相反,这与有关财务危机研究报告相关结论一致,即:2016年以前,A 股具有显著的壳资源效应,即亏损、ST的个股被认为是潜在的壳资源标的,一旦被借壳,股价可能会大幅度上涨。然而从2017年以来,随着市场规范化程度不断提升,北上资金大举进入A股市场,大盘蓝筹股受到市场青睐,国内资本市场投资者转向对公司基本面的关注,价值投资理念逐渐深入人心。

2010年至2021年

2010年至2016年

2017年至2021年

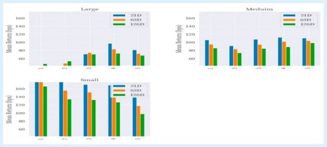
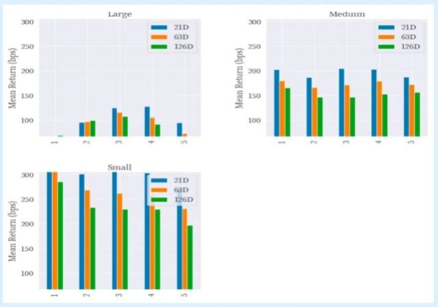
以下各图不同时间段大市值、中市值和小市值的分组平均收益。整个时间段来看(2010年至2021年),对于大市值股票,ST预测因子与收益正相关且分层收益显著,对于小市值股票,ST预测因子与收益负相关且分层收益也显著。2010年至2016年时,对于小市值股票,ST预测因子与收益负相关且分层收益显著,对大市值分层收益不明显。2017年至2021年时,对于大市值股票,ST预测因子与收益正相关且分层收益显著,对小市值分层收益不明显。对于不同市值,2017年前后因子表现存在差异,叠加效果导致2010年到2021年因子在小市值与大市值上对收益影响相反。

2010年至2021年

2010年至2016年

2017年至2021年

下图为行业市值分组中性化后的分组收益,分层效果不明显。

八、指数增强

本节研究ST预测因子的正向选股:1、全市场按流通市值选择排名前三百位(或三百零一到八百位,八百零一到一千八百位)作为候选股票;2、通过ST预测因子从高到低排序,剔除排序后60%的候选股票;3、剩下候选股票按流通市值加权构成组合,调仓周期为半年。下图所示为所构造指数组合的走势。

基于300指数增强

基于500指数增强

基于1000指数增强

综合来看,ST预测因子用作正向选股构造价格指数增强策略,最近5年相对沪深300、中证500和中证1000的年超额收益约为2%、2%和6%。

九、模型总结

本文主要结论如下:

  1. 整个时间段来看(2010年至2021年),对于大市值股票,ST预测因子与收益正相关且分层收益显著,对于小市值股票,ST预测因子与收益负相关且分层收益也显著。2010年至2016年时,对于小市值股票,ST预测因子与收益负相关且分层收益显著,对大市值分层收益不明显。2017年至2021年时,对于大市值股票,ST预测因子与收益正相关且分层收益显著,对小市值分层收益不明显。对于不同市值股票,2017年前后因子表现存在差异,叠加效果导致2010年到2021年因子在小市值与大市值上与收益相关性相反。

2017年前后因子表现完全相反,这与有关财务危机研究报告相关结论一致,即:2017年以前,A 股具有显著的壳资源效应,即亏损、ST的个股被认为是潜在的壳资源标的,一旦被借壳,股价可能会大幅度上涨。然而从2017年以来,随着市场规范化程度不断提升,北上资金大举进入A股市场,大盘蓝筹股受到市场青睐,国内资本市场投资者转向对公司基本面的关注,价值投资理念逐渐深入人心。

ST预测因子负向剔除构建规模指数相对于基准几乎没有超额,这可能来源于ST在规模指数中个数占比较小(小于3%),权重占比更小(小于0.3%),故基于ST剔除对指数收益增强效果不明显。

ST预测因子用作正向选股构造价格指数,最近五年相对沪深300、中证500和中证1000有一定超额收益。