logo

新闻与公告详情

Beta Science | 一文读懂转债估值指标及估值指标修正

公司动态

2022-06-10

张子欣-中诚信指数服务(北京)有限公司债券估值与量化研究员

毕业于对外经济贸易大学,主要研究方向为债券估值,转债等。

摘要

何为转债估值?按照通常定义,转债估值即对转债价值的估算,受含权因素、股票价格、波动率等的影响,转债价值不能简单通过价格进行比较,而是需要通过转股溢价率、隐含波动率等指标来衡量。为避免歧义,下文中的估值如无特殊说明,均指转股溢价率、隐含波动率等可以用来进行转债价值横向或纵向比较的指标。

转债估值的重要性在于择时和择券。从择券的角度看,受转债市场快速扩容影响,过多的标的加大了转债择券的难度,通过估值比较我们能迅速找到被低估的个券从而获取超额收益。从择时的角度看,何时入市避免高位接盘,采取何种交易策略受到转债当前市场整体估值水平的影响,因此我们需要一个完善、可比的估值体系来分析转债市场。

从价值构成理解转债估值。与股票、债券等资产不同,作为一种复杂衍生品,转债的价值由平价、债底和其他期权价值构成。估值作为一种溢价性质的概念,根据其相对溢价的标的不同而衍生出了分别刻画股性、债性和期权价值的估值指标:转股溢价率、纯债溢价率、隐含波动率。

现有估值指标存在适用性、可比性和不够直观的缺陷。从现有估值体系来看,隐含波动率、转股溢价率、纯债溢价率都有其自身无法克服的缺陷,例如用于计算转股溢价率的平价和转债绝对价格之间存在负相关性使得其可比性较差,纯债溢价率对于较高价位区间的转债参考意义不大,隐含波动率无法直观反映股债性等。

转债估值的分类讨论:受股性、债性驱动的转债在收益特点上呈现显著差异:债性转债收益稳定,博取正股上涨弹性带来的转股收益,可能更倾向于转股溢价率的分析。股性转债平价驱动,债底保护作用弱,性质和股票趋同,而更为关注情绪交易的价值,因此选用隐含波动率。

转债估值的修正:转股溢价率的修正思路是剥离平价的影响,由于转股溢价率适用于对债性转债的估值,一定程度上限制了绝对价格区间,因此溢价率和平价并未呈现负相关分布,使用对平价回归取残差后的转股溢价率作为估值指标。隐含波动率的修正思路是构造指标表现出转债市场和正股的相对情绪以实现股债联动策略,因此使用转债隐含波动率和正股波动率之差作为股性转债的估值指标。

转债研究的起点:估值及定价体系

为何要研究转债估值?

转债市场加速扩容加大个券比较难度。自2018年转债市场加速扩容以来,转债标的迅速增加,截止2022年存续转债只数已达445只,存续总规模8326.10亿元。在转债市场的持续扩容及新券层出不穷的情况下,加大了个券比较难度,投资者亟需一种指标来直观、快速对比不同时期、不同个券的相对价值。

图表1.转债市场快速扩容

资料来源:wind

转债估值的重要性在于择时和择券。择券角度:估值是衡量不同个券相对价值的重要指标。从择券角度来看,我们需要通过比较估值来对比相同时期不同个券亦或是相同个券不同时期的价格相对其实际价值的溢价水平,并以此为参考从中筛选出更具性价比的转债。择时角度:估值是衡量市场情绪及安全边际的信号。通过估值水平的历史比较,我们可以清晰了解转债市场的整体情绪及相对权益、纯债的性价比,并实现仓位控制以把控风险、追求更高绝对收益的目的。

从价值构成角度理解转债估值体系

转债的价值构成

作为一种兼具股性和债性的复杂衍生品,转债内含的期权属性使得其定价思路与股票、债券等资产存在较大差异。从理论上来看,转债本质依然为债券,需要按期偿还本金和利息。在不考虑任何期权属性的情况下,转债未来的折现现金流就是转债的纯债价值。

同时由于转债在发行时会设定一系列的条款,例如转股、下修、回售等。这些条款赋予了发行人或投资者能够采取有利于自身利益行为的机会,这部分选择权的价值也就是期权价值。

在转债内含的众多期权中,最重要的是转股期权。转股期权本质是看涨期权,赋予了投资者能够在正股价格上行突破执行价时选择将转债按照一定的转股比例转换成正股的权利,也是转债股性的来源和转债期权价值的主要构成部分,因此我们可以将期权价值进一步拆分为转股价值和其他期权博弈价值。

图表2.可转债理论价值构成

资料来源:公开资料整理

转债的估值体系

转债估值和股票、债券估值的最大区别在于:价格驱动因素不同。

以股票为例,对于股票我们采用市盈率来衡量估值,市盈率也就是市价 / 每股收益,按照股利折现计算的每股收益可以视为股票的理论价值。股票的理论价值来源的本质是盈利,并不会随着股票市值的变化而发生改变,因此市盈率在理论上几乎适用于所有股票。

而转债不同,其价值同时受到债底、平价及其他期权价值的影响,并且在不同的价位主要的影响因素也在发生变化,例如在价格较低更接近债底时,平价往往较低,此时转债价格的主要驱动力是债底。若将转债按照绝对价格进行分组计算相关性,价格区间越低,价格和债底的相关性也就越高,并且随着价格区间的提升,价格和平价的相关性也不断提升。

基于驱动因素的不同衍生出了三元估值体系。估值作为一个溢价性质的指标,其估值的含义也随着选取的相对溢价参考物的变化而发生改变。由于价格的最主要驱动力来自平价和债底,因此从股、债性的角度出发最常用的估值指标分别是转股溢价率和纯债溢价率。除此之外,隐含波动率从期权的角度出发,由于同时考虑了平价、债底、时间价值的影响,被认为是相较于溢价率更为全面的估值指标。

1、股性估值:转股溢价率 = 转债价格 / 平价 - 1。

转股溢价率反映转债价格相对平价的溢价,是从股性的角度出发刻画转债的估值。转股溢价率和转债价格的关系存在较为明显的负相关性,因此并不能简单得通过转股溢价率辨别转债的股、债性。

图表3.转股溢价率是转债价格相对平价的溢价

资料来源:公开资料整理

2、债性估值:纯债溢价率 = 转债价格 / 债底 -1。

纯债溢价率反映转债价格相对债底的溢价,是从债性的角度出发来刻画转债估值。由于债底价值相对稳定,转债价格和纯债溢价率基本呈现单调正相关的关系,基于此我们可以直观得用纯债溢价率来刻画转债的债性:纯债溢价率越低,意味着此时转债价格相对较低也更接近债底,此时平价的驱动力较弱,转债更多得表现为债性。

图表4.纯债溢价率是转债价格相对债底的溢价

资料来源:公开资料整理

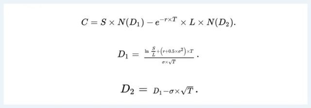
3、期权估值:隐含波动率

隐含波动率由将转债价格代入B-S模型倒算得出,为何隐含波动率可以刻画转债的估值水平且考虑因素相较溢价率更为全面,我们不妨从B-S模型入手:

其中C、L、S、T、r从转债的角度来看分别为转债价格、转股价、正股现价、剩余期限、折现利率。

从B-S模型的参数来看,剩余期限代表了时间价值,并与转债价格呈现正相关,剩余期限越长,转债正股上涨的可能性越大,行使期权的时间也就越长。折现利率反映信用风险和流动性价值:折现利率的确定内含信用风险和流动性的考量,而折现利率也恰是债底的唯一未知变量,因此折现利率反应了对债底的考量。正股现价的变化则反映了平价的变化,和转债价格正相关。

由于B-S模型同时考虑了时间价值、债底、平价的因素,因此由B-S模型反解得到的隐含波动率相较于股、债性溢价率指标也更为全面。

现有估值指标的缺陷

1、转股溢价率的缺陷

缺乏可比性。转股溢价率的本质是将平价视为理论价值的情况下衡量转债价格相对理论价值的溢价水平。从截面的角度看,估值指标的意义在于找到价格相对理论价值被低估的个券,但是平价的变化打破了个券之间的可比性,例如济川转债的转股溢价率为19.74%,山鹰转债的转股溢价率是32.94%,此时济川转债的转股溢价率低于山鹰转债,从估值的角度来看,济川转债被相对低估,但是济川转债的平价是105.21元,而山鹰转债的平价为85.15元,因此济川转债的转股溢价率较低的一部分原因在于平价较高。从时序的角度看,转债个券乃至转债市场若出现转股溢价率的抬升,可能并不是估值的抬升,而是权益市场走熊带来平价的下降从而使得估值“被动抬升”。

图表5.转债平价和转股溢价率的负相关分布特点

资料来源:wind

无法刻画债券流动性和信用风险。由于流动性和信用风险更多得体现在债底上,仅通过转股溢价率可能难以刻画。

2、纯债溢价率的缺陷

不适用于股性转债。对于股性转债来说,其价格相对债底的溢价来自两部分:平价溢价和估值溢价,且平价溢价占据溢价的大部分,用纯债溢价率刻画的溢价往往并不是估值溢价,而是平价溢价。

3、隐含波动率的缺陷

全而不专,不够直观,无法反映价格驱动的主要矛盾。在适用性和可比性上隐含波动率明显优于上述溢价率指标。但是前面也有提到,隐含波动率由B-S模型倒算得出,而在B-S模型的参数中综合考虑了债底、平价、时间价值等影响,更为全面,但是全面的缺点也就导致了不够直观,各个因素相互作用,胡子眉毛一把抓导致无法直观反映驱动价格的主要矛盾。

模型假设严苛,存在“精确的错误”。B-S模型存在严苛的假设问题,例如市场无摩擦、可卖空等,显然并不符合真实市场,因此基于模型倒算得到的估值指标不可避免得存在系统性的错误。

转债修正估值体系建立

如何划分转债类型

所有的估值指标都有适用性的限制,“一概而论”不如“分而治之”。在“一概而论”的估值思维中,我们通常用一个指标来表征整个市场的估值情况,但是无论是溢价率指标还是隐含波动率指标都有其天然的缺陷和适用性的限制,例如转股溢价率的可比性差,无法适用高平价和低平价区间;隐含波动率在转债价格过高时会导致无计算结果等等。既然每个指标都有其适用与不适用的限制,我们不妨采取“分而治之”的思路,用最合适的指标去评估不同类型转债的价值。

“分而治之”的估值体系下,转债类型的区分是关键。转债驱动因素众多,但从本质上来看无非股、债、估值驱动,估值又在很大程度上受股债性的影响,而受不同类型转债性质的影响,主要参与的投资者也存在较大差异,因此我们不妨根据股债性对转债的类型进行分类,来对不同类型的转债投资者进行画像找到各类转债的特点,从而选取合适的估值指标对不同类型的转债进行估值。

偏债型转债:偏债型转债的收益主要来源于票息与折现利率变化所带来的资本利得。由于偏债型转债本身绝对价位较低,向下债底的支撑使得价格下行风险较小,向上可以搏取将来正股的上行弹性。投资该类转债的投资者主要是风险偏好较低的以“固收+”为目的的一、二级债基。

偏股型转债:偏股型转债的收益主要来自平价,该类转债往往绝对价格较高使得债底的保护作用较小,面临较大的下行风险。同时由于上有强赎条款的限制,面临较大的估值压缩风险。偏股型转债的性质几近于股票,但是收益、流动性和市场规模远不及股票,但是由于T+0机制和较股票更宽松的涨跌停限制的存在,使得市场参与者往往是偏好右侧情绪交易的投资者。

平衡型转债:平衡型转债介于偏债转债和偏股转债之间,股、债性较为平衡,同时具备正股拉升的弹性和一定的债底保护作用。

债性转债重正股弹性分析,适用转股溢价率。偏债转债的价格弹性较高,下行风险有限,且基于国内转债尚未形成实质违约,信用风险较小,因此对于持有债性转债的分析更主要侧重于正股的弹性,以期获得转股收益。同时由于债性转债的绝对价格往往处于相对较低位置,使得通过转股溢价率把握转债正股弹性的作用大大增强。

股性转债重情绪分析,适用转债和正股的隐含波动率之差。对于股性转债而言,其主要驱动力来自平价,而转股溢价率在高平价区间适用性较差。同时考虑到股性转债此时价格与债底偏差较大,并呈现出与正股价格的相似波动。对于该类转债,由于参与者多为情绪投资者,因此我们更注重对其情绪的分析。而隐含波动率对于刻画市场情绪有着得天独厚的优势,通过对转债的隐含波动率和正股的波动率作差,可以体现转债和正股的相对情绪变化。

平衡型转债的偏债型和偏股型分别适用转股溢价率和隐波差。平衡型转债有两类,一种是绝对价值低,但是转股溢价率高,另一种是绝对价值高,转股溢价率高,根据绝对价值的不同我们将平衡型转债区分为偏债型和偏股型。平衡偏债型适用转股溢价率,平衡偏股型适用隐波差。

在实际操作中如何根据股债性区分转债?

基于转股溢价率和纯债溢价率的二维分析确定股债性。

在转债的二维分析中,纯债溢价率指标优于直接用绝对价格进行判断。一方面,纯债溢价率反映转债绝对价格对债底的溢价,债底相对稳定,因此纯债溢价率指标在很大程度上反映了绝对价格的信息,例如纯债溢价率在20%左右的转债,绝对价格一般处于105-115区间内,两者截面相关性也达到了0.88。另一方面,纯债溢价率中包含期权估值因素,期权估值又受到转债剩余期限的影响,因此使用纯债溢价率相较绝对价格包含了更多信息。

图表6.转债绝对价格和纯债溢价率呈现正相关(2022-03-30)

资料来源:wind

从纯债溢价率和转股溢价率的相对关系,我们可以将转债分为四类:

低纯债溢价率、高转股溢价率:该类转债价格较低,债性较强,但转股溢价率较高,说明正股上涨弹性较大,我们认为其属于平衡型转债。

高纯债溢价率、低转股溢价率:这类转债绝对价位较高使得债底保护作用较小,同时由于转股溢价率尚处低位,正股驱动较弱,我们将之划分为平衡偏股转债。

低纯债溢价率、低转股溢价率:这类转债往往绝对价格较低,具备较大的债底保护作用,同时转股溢价率较低,平价驱动作用较小,我们将之划分为平衡债性转债。

高纯债溢价率、高转股溢价率:该类转债债性显然较弱,同时转股溢价率在较高价位的情况下表现偏高,说明平价较低,平价驱动较强,我们认为其属于股性转债。

债性及平衡偏债转债估值指标:修正转股溢价率

简单的转股溢价率指标因平价发生变动的原因导致可比性较差,因此我们的主要改进思路则是剥离平价对溢价率的影响。

修正思路一:在同一个平价区间比较溢价率

通过划分平价区间的方式使得在同一区间内的转债可比。这种方式实际是实现了一种模糊的正确。理论上说,平价区间划分得越细,区间内的样本可比性就越强,但是这面临一个现实问题就是区间内的样本数量较少甚至出现断层。而平价区间划分得越大,区间内样本的可比性就越差。因此在同一个平价区间内比较溢价率其实面临着样本区间划分范围确定的难题。此外,该方法仅通过平价区间进行划分而忽略了转债的绝对价位的影响。

图表7.划分平价区间存在断点问题

资料来源:wind

修正思路二:回归拟合取残差

以溢价率为被解释变量,平价为解释变量进行回归拟合,以回归的残差代替溢价率。从理论上来看,溢价率和平价之间呈现负相关分布特点,用线性回归会导致较大的拟合误差,但是在上一步转债类型划分中我们通过将纯债溢价率限定在20%以内作为债性转债,绝对价位不会过高,两者处于中间区域,并未呈现显著的负相关特点,因此采用线性回归的方式并不会带来较大的拟合误差。

图表8.截面线性回归

资料来源:wind

股性或平衡偏股转债修正估值指标:转债-正股隐波差

对于股性转债来说,平价是主要驱动力,相较之下估值的推动作用大大降低,且市场参与者主要是情绪交易投资者,因此我们主要关注转债市场相对权益市场的情绪。因此选用转债和正股的隐含波动率的差值。

风险提示

基于历史数据的分析可能与真实情况存在差异。